银娱geg优越会

仿真-YD

定制化夹具

pi_new_img

凭证客户的测试需求 ,定制相关夹具:

1、自界说背板/毗连器 ,海内外分立电阻电容电感器件 , 自研芯片、线缆等测试夹具

2、切合测试标准 ,准确丈量客户待测物的真实性能

3、可凭证测试场景选择TRL/ISD/AFR等多种去嵌要领 ,均能完全去除夹具的影响 ,去嵌精度:回损-40dB@67GHz ,插损±0.1dB@67GHz

国产分立器件测试夹具

国产分立器件测试夹具

5G天线毗连器夹具测试

5G天线毗连器夹具测试

去嵌精度&测试精度

去嵌方法比照

去嵌方法比照

可以使用多种差别的去嵌方法实现测试产品DUT ,均能包管高精度的去嵌测试

TRL校准精度

TRL校准精度

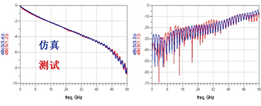
TRL去嵌精度做到50Ghz+ ,IL小于±0.1db ,RL小于-35db。

仿测校准案例

带SMA头的仿真测试拟合

带SMA头的仿真测试拟合

插损回损拟合

插损回损拟合

TDR阻抗拟合

TDR阻抗拟合

网站地图